浅谈海上单道地震调查的细枝末节

图1 SIG Pulse获取的地震剖面(From S.I.G官网)

图2 AAE CSP2200+Squid 2000获取的地震剖面(笔者曾经参与的项目)

图3 GEO 2kJ获取的地层剖面(国内GEO“独家”代理提供)

图4 零偏移距地震道获取示意图
工作原理如上图所示,黑色矩形表示发射换能器,也就是震源,灰色矩形表示接收换能器,也就是水听器(缆)。地震波(声波)从震源出发,经过海底及海底以下地层反射之后抵达水听器,由采集系统记录震源触发时刻,并在震源触发之后采集记录水听器接收到的信号,由用户或预置的自动检测算法在记录的数据中识别出这些来自不同路径的反射信号,判别哪个来自海底,哪些来自地层,哪些是干扰。一般情况下,需要将发射和接收换能器的距离控制在一定的范围内,满足小角度入射-反射(主要原因是反射率与入射角度有关,角度过大,反射波的能量不足),以近似为自激自收观测系统,获得零偏移距地震道。
图中的发射和接收换能器在空间上移动,即可沿着移动轨迹获得正下方的地层剖面。移动过程中,震源按一定的空间间隔激发,匀速移动时亦可按一定的时间间隔激发,每次激发(bong,bong,bong)均由采集系统记录水听器接收到的反射信号,每次形成一个地震道,也就是“声声是道”。
备航

图5

图6

图7 海上单道地震调查——横向排列观测系统
一般规律是,船越大或航速越快,航行过程中尾流越长,放缆长度就得越长。缆不够长的情况下,降低航速也是一种解决方案。降低航速有两个好处,一是尾流的影响会减轻,二是水听器缆本身的拖曳噪声也会减小;有一个坏处,工作效率会降低,同样的测线长度,在海上呆的时间会变长,施工成本也会增加(不过有出海补贴的话也会变多……
)。

图8 DEBYE e-PPS + e-Boomer采集的地震剖面
综上所述,采用不同的调查船(用渔船,渔船就变成调查船了),震源发射头和接收缆布放的长度也需要进行相应的调整,具体还是得看工作人员的作业经验以及对现场采集数据质量的监控。此外,不同厂商的生产工艺水平必然有所差异,故不同型号接收缆的性能也必然不同,可能就会直接体现在拖曳噪声上。不过笔者尚未对这种情况进行详细调研,暂且不论。(从研制接收缆的角度来看,需要生产能够抗拖曳噪声的缆,在高速拖曳下仍能保持低噪声水平,以配合高性能震源,提高海上调查的工作效率。)
这里主要是想强调:后拖距离计算的几个端点分别是:震源发射头的几何中心点、震源拖曳绳(缆)在船尾处的固定点、水听器阵列的几何中心点、水听器电缆在船尾处的固定点,另外还有GPS天线的安装位置,用于推算实际的反射点位置。海上作业时,尽量以这两个几何中心点为基准,控制两条缆的释放长度。啰嗦一句,建议备航时做好标记,一劳永逸。
水听器组合缆
上面探讨水听器缆该放多长时提到了“水听器阵列的几何中心点”。没错,虽然单道地震采用的接收缆通常只有一个信号输出通道,但入水端用于检测信号的传感器(水听器)通常是多个,俗称基元。比如说,笔者最近常用的SIG 16.8.5是8个基元,基元间距0.5m;以前常用的AAE的AH150/20是20个基元,基元间距0.15m;GEO的Mini-Streamer基元数量有8至24个以上,笔者常用的一条缆是20个基元,基元间距0.2m。这些技术参数通常也可以在厂商提供的Data Sheet中查找到,也可以自己动手量一量。一般而言,用户亦可根据自己的需求向厂商提出规格要求,定制基元数量和基元间距。
图7描的横向排列观测系统示意图正是拖着一条8基元的水听器组合缆,不难看出,水听器阵列的几何中心点是第4和第5个基元的中点。不过,这里对长度或距离的测量精度要求也没那么高,如果使用的是电火花或Boomer震源的话,个人认为累积误差控制在分米级,足矣。
水听器阵列长度对接收信号的影响关系
那么,水听器阵列长度对接收信号有何影响呢?

图9 阵列长度对海底反射信号的影响
上图是笔者以SIG 16.8.5水听器缆的几何参数为原型所作的海上观测系统示意。
不难想象,震源产生的声波到达各个水听器基元的旅行时是有所差异的,包括直达波和反射波(们)。而这个差异大小取决于两个因素,一是工作人员对布放长度的控制,二是接收缆中水听器阵列的长度。
当阵列固定时,比如上图中的8个基元,基元间距0.5m,上面提到的旅行时差就取决于工作人员对放缆长度的控制。当两个几何中心严格对齐时,震源所产生的声波及各类反射波到达各个水听器的旅行时差理论上会达到最小。这种情况下,来自不同路径的反射波基本上是同相的(相干),而其它信号通常是不相干的,可视为是随机的,叠加后就弱了。这也就是地震勘探原理课堂上常说的检波器组合效应。
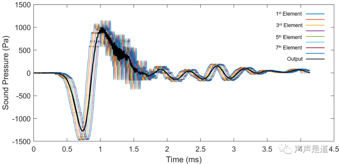
以上图的观测系统为例,假设水深为15m,由于工作人员手扌斗,导致震源发射头的几何中心点与第一个水听器基元对齐了,而不是与水听器阵列的中心点对齐(如上图中灰色圆形的情况),则在海底平坦的情况下,反射波到达第1个基元和第8个基元的旅行时差约为0.14ms。以我们团队在水池实测的Boomer震源的声压波形为例,这0.14ms的时差影响并不大(不过水再浅一些,情况就不一样了,感(有)兴(需)趣(要)的读者可以自己动手画一画、算一算)。一般情况下,震源子波的主频越低,影响越小。此外,深度越大,被影响越小。

图10 e-Boomer震源实测声压波形延时叠加效果示意图
观测系统设计——纵向排列观测系统
前面提到还有一种观测系统称为纵向排列,示意图如下:

图11 海上地震调查——纵向排列观测系统
事实上,纵向排列常用于多道地震,单道地震很少见。
Baradello和Carcione(2008)对两种排列的优劣进行了详细的探讨,当接收缆水听器基元的数量和间距固定时,横向排列在浅水区及浅层高分辨率勘探具有明显的优势。
需要强调一下,并不是说纵向排列观测系统就不能用于单道地震!仔细琢磨上述文献得出的结论,反向思考,为了弥补纵向排列在浅水区及浅层高分辨率勘探的劣势,我们应该从接收缆水听器基元的数量和间距入手,提高纵向排列在浅水区的适用性。
实践表明,选择窄间距的水听器缆是一种可行的弥补方案。下图正是笔者所在项目团队近期用纵向排列观测系统获取的单道地震剖面,这里仅截取测线的其中一段,目的是让读者能够看清细节。顺便提一下,与采用横向排列在同一位置获取的剖面基本是一致的。(由于相关成果写了论文,投了稿,暂且不变透露太多细节,择期再细论)

图12 纵向排列观测系统采集的地震剖面
需要说明一下,笔者也是因为项目研究需要才选用了纵向排列,绝不是因为头铁。从个人实践经验来看,如果是海上单道地震调查,还是横向排列观测系统合适。置于纵向排列,六个字:非必要 ,不建议!
后记
上回发布的那篇《海洋电火花震源的基础研究现状与展望》,在后记里预告了这篇推文要聊聊“电火花震源的海洋工程应用和资料处理”,写着写着发现很难紧扣主题(从小作文就写不好),原因大概是因为电火花震源的海洋工程应用就是海上单道地震调查,而海上单道地震调查可用的震源类型不仅有电火花,还有Boomer等,单聊“电火花震源的海洋工程应用”实在是有(说)点(不)局(过)限(去)。所以写着写着仿佛就变成“海上单道地震调查的细枝末节”了。(那就顺其自然吧)
很多人可能会认为海上单道地震调查这么简单的工作,能有啥可挖掘的?嗯……其实我也是这么觉得的,确实没啥可挖的,本来就是很基础的一项工作,本意是做好这件“小事”。不过,小事依然可以做细,精益求精嘛!写这篇文章的目的只是想把笔者入行以来积累的一些经验分享给大家,相信对刚入行的朋友应该还是会有所启发的。(大佬们可绕道,不过大佬应该也不会看到这里)
从12年上研究生跟师兄们第一次出海,到现在也满10年了,How time flies...那时候干的就是单道地震,用的就是电火花震源,在这里感谢一下那时候带我入门的前辈们。
(想你们了...
)
老规矩,后期有空再聊聊单道地震资料处理的细枝末节吧。感谢看到这里的朋友们,下期见。
PS:上面显示的地震剖面几乎都是经过笔者后处理的。
象征性的参考文献:
Trabant P K. Applied high-resolution geophysical methods: offshore geoengineering hazards[M]. Springer Science & Business Media, 2013.(最新版)
Parkinson R. High resolution site surveys[M]. CRC Press, 2000.
Zhou H W. Practical seismic data analysis[M]. Cambridge University Press, 2014.
Dondurur D. Acquisition and Processing of Marine Seismic Data. Elsevier, 2018
Margrave G F, Lamoureux M P. Numerical methods of exploration seismology: With algorithms in MATLAB®[M]. Cambridge University Press, 2019.
Baradello L, Carcione J M. Optimal seismic-data acquisition in very shallow waters: Surveys in the Venice lagoon[J]. Geophysics, 2008, 73(6): Q59-Q63.